Shock Attack
Moderators: wdolson, MOD_War-in-the-Pacific-Admirals-Edition
Shock Attack
I have been playing WiTP and AE since it came out in like 2004, I still do not understand shock attack. I never use it, it only happens when I cross rivers and such. Come someone explain when I should use and why? Any help would be great.
"Ours was the first revolution in the history of mankind that truly reversed the course of government, and with three little words: 'We the people.' 'We the people' tell the government what to do, it doesn't tell us." -Ronald Reagan
RE: Shock Attack
My opponent and I use it almost always. It doubles your AV. As long as that puts you over the magic 1-1, there's no downside, especially as the defender gets smashed if he loses. It does mean that when the two forces are about the same strength, it's a race to see who attacks first.
Harry Erwin
"For a number to make sense in the game, someone has to calibrate it and program code. There are too many significant numbers that behave non-linearly to expect that. It's just a game. Enjoy it." herwin@btinternet.com
"For a number to make sense in the game, someone has to calibrate it and program code. There are too many significant numbers that behave non-linearly to expect that. It's just a game. Enjoy it." herwin@btinternet.com
- Chickenboy
- Posts: 24648
- Joined: Fri Jun 28, 2002 11:30 pm
- Location: San Antonio, TX
RE: Shock Attack
You essentially double up your assault value on the attack. Nice. However, you also are subject to your opponent's fire prior to your assault value calculation and application. Not so nice.ORIGINAL: Zeta16
I have been playing WiTP and AE since it came out in like 2004, I still do not understand shock attack. I never use it, it only happens when I cross rivers and such. Come someone explain when I should use and why? Any help would be great.
I find that it's useful when the opponent is beaten down, there's no forts or terrain modifier 'surprises' to consider and you really want to get them over that 2:1 hump to ellicit a retreat or surrender.

RE: Shock Attack
I always never use it cause i so no real reason. If you can kick your enemy out and if you are close to an 2:1 you can shock but otherwise it just increases your losses and disabled squads. My Japanese opponent almost always does shock attacks even when not close to 1:1 , but except a lot of disabled squads he does not really achieve anything.
For me it is not very common to fight any ground fight on real odds close to 1:1. Usually either you kick him out of the hex/base or he does it. And with late war US Squads and their impressive soft attack power you win every war of attrition which is close to 1:1 without the shock attacks.
For me it is not very common to fight any ground fight on real odds close to 1:1. Usually either you kick him out of the hex/base or he does it. And with late war US Squads and their impressive soft attack power you win every war of attrition which is close to 1:1 without the shock attacks.
RE: Shock Attack
Use shock attacks very judiciously. They are very useful but can easily wreck your attacking force. Shock attacking when you have various factors against you - disruption, bad terrain (favorable to defense), etc. - is unwise unless you've got the odds with you even considering those things. Just as otherwise in combat, high quality units can get away with more when a shock attack goes bad, but they also can get hosed.
Intel Monkey: https://sites.google.com/view/staffmonkeys/home
- Canoerebel
- Posts: 21099
- Joined: Fri Dec 13, 2002 11:21 pm
- Location: Northwestern Georgia, USA
- Contact:
RE: Shock Attack
Shock attacks are an important part of your arsenal. There's no exact science to tell you when to employ them - it's a matter of feel honed through experience. I have them used against me to good effect, and sometimes I'm able to use them to good effect. Some pointers:
1) You almost never use them when your opponent is in a stronger position and has a stronger force. You'll take heavy losses. Sometimes, though, this is necessary in order to more effectively take down forts, as the Japanese player may need to do at Singapore, Hong Kong, or Clark Field. In those cases, shock attacks are the best way to bring down forts to allow you achieve better, less costly attacks sooner.
2) Shock attacks are a great way to collapse a faltering enemy or a badly tuckered one behind fortifications. When the enemy is tired, out of supply, badly disrupted, etc., shock attacks can blast through the remaining fortifications and bring instant (or quicker) victory where a series of deliberate attacks might still drag out for days or weeks. If a shock attack succeeds in booting the defender from it's hex, losses are often massive (especially in China).
3) They can be useful when you wish to suicide attack to destroy your hopelessly isolated unit so that it can be rebuilt somewhere else (believe it or not, this happens from time to time).
1) You almost never use them when your opponent is in a stronger position and has a stronger force. You'll take heavy losses. Sometimes, though, this is necessary in order to more effectively take down forts, as the Japanese player may need to do at Singapore, Hong Kong, or Clark Field. In those cases, shock attacks are the best way to bring down forts to allow you achieve better, less costly attacks sooner.
2) Shock attacks are a great way to collapse a faltering enemy or a badly tuckered one behind fortifications. When the enemy is tired, out of supply, badly disrupted, etc., shock attacks can blast through the remaining fortifications and bring instant (or quicker) victory where a series of deliberate attacks might still drag out for days or weeks. If a shock attack succeeds in booting the defender from it's hex, losses are often massive (especially in China).
3) They can be useful when you wish to suicide attack to destroy your hopelessly isolated unit so that it can be rebuilt somewhere else (believe it or not, this happens from time to time).
"Rats set fire to Mr. Cooper’s store in Fort Valley. No damage done." Columbus (Ga) Enquirer-Sun, October 2, 1880.
RE: Shock Attack
ORIGINAL: witpqs
Use shock attacks very judiciously. They are very useful but can easily wreck your attacking force. Shock attacking when you have various factors against you - disruption, bad terrain (favorable to defense), etc. - is unwise unless you've got the odds with you even considering those things. Just as otherwise in combat, high quality units can get away with more when a shock attack goes bad, but they also can get hosed.
I used to think that, but after collecting statistics from about 100 battles, it was clear there was little or no downside.
The LCU combat engine can be taken advantage of in interesting ways. The real-world combat process that seems most similar to how it works appears to be WWI naval surface combat, so I evaluate my LCU stacks as little surface fleets in deciding whether to attack or not.
Harry Erwin
"For a number to make sense in the game, someone has to calibrate it and program code. There are too many significant numbers that behave non-linearly to expect that. It's just a game. Enjoy it." herwin@btinternet.com
"For a number to make sense in the game, someone has to calibrate it and program code. There are too many significant numbers that behave non-linearly to expect that. It's just a game. Enjoy it." herwin@btinternet.com
RE: Shock Attack
ORIGINAL: herwin
ORIGINAL: witpqs
Use shock attacks very judiciously. They are very useful but can easily wreck your attacking force. Shock attacking when you have various factors against you - disruption, bad terrain (favorable to defense), etc. - is unwise unless you've got the odds with you even considering those things. Just as otherwise in combat, high quality units can get away with more when a shock attack goes bad, but they also can get hosed.
I used to think that, but after collecting statistics from about 100 battles, it was clear there was little or no downside.
Sorry, but that is just BS. You "statistics" are based of early war low exp. and morale allied units vs. good japanese units.
It's totally different vs. USMC or army divisions, you can easily lose entire japanese division by doing shock attacks. Even when you have 2-3 times higher assault value.
RE: Shock Attack
ORIGINAL: Puhis
ORIGINAL: herwin
ORIGINAL: witpqs
Use shock attacks very judiciously. They are very useful but can easily wreck your attacking force. Shock attacking when you have various factors against you - disruption, bad terrain (favorable to defense), etc. - is unwise unless you've got the odds with you even considering those things. Just as otherwise in combat, high quality units can get away with more when a shock attack goes bad, but they also can get hosed.
I used to think that, but after collecting statistics from about 100 battles, it was clear there was little or no downside.
Sorry, but that is just BS. You "statistics" are based of early war low exp. and morale allied units vs. good japanese units.
It's totally different vs. USMC or army divisions, you can easily lose entire japanese division by doing shock attacks. Even when you have 2-3 times higher assault value.
Yes, the initial firefight uses firepower rather than AV, and that increases in Allied units by about a factor of two in 1943-44. What happens during the firefight is that the opposing side is attritted proportionately to your effective firepower, which usually increases an AV imbalance. When the battle involves armour or late-war allied units, you have to adjust for the firepower numbers, but my basic point is ceteras paribus shock attacks rule.
Harry Erwin
"For a number to make sense in the game, someone has to calibrate it and program code. There are too many significant numbers that behave non-linearly to expect that. It's just a game. Enjoy it." herwin@btinternet.com
"For a number to make sense in the game, someone has to calibrate it and program code. There are too many significant numbers that behave non-linearly to expect that. It's just a game. Enjoy it." herwin@btinternet.com
RE: Shock Attack
Shock attacks are very effective against FORTIFIED enemy strongholds, but you must have an engineer unit with your attackers, with an assault value.
This will allow the engineers to reduce the enemy fortifications more efficiently, and so long as you are shock attacking, you might force the enemy to withdraw, even if you don't eliminate him entirely.
More commonly, you will capture the hex, and left to fight the opponent for a few more days in that hex.
The downside is you will take heavier losses during shock attack than a slower more conventional attack.
Shock attack is putting every grunt, cook, mechanic, etc, into the front line, with a rifle, an all out effort, whereas a conventional attack is combat arms only at the front.
No guts, no glory.
This will allow the engineers to reduce the enemy fortifications more efficiently, and so long as you are shock attacking, you might force the enemy to withdraw, even if you don't eliminate him entirely.
More commonly, you will capture the hex, and left to fight the opponent for a few more days in that hex.
The downside is you will take heavier losses during shock attack than a slower more conventional attack.
Shock attack is putting every grunt, cook, mechanic, etc, into the front line, with a rifle, an all out effort, whereas a conventional attack is combat arms only at the front.
No guts, no glory.


RE: Shock Attack
ORIGINAL: Zeta16
I have been playing WiTP and AE since it came out in like 2004, I still do not understand shock attack. I never use it, it only happens when I cross rivers and such. Come someone explain when I should use and why? Any help would be great.
shock attacks double your AV but also give the defender a free fire phase before this goes down. Against an opponent with heavy firepower (like a typical midwar US RCT for example), if your gamble fails you'll suffer horrendous losses. A failed shock in general will incur heavy casualties unless the defender condition is weak. Another factor to consider beyond "casualties" is the effect on disruption. Failed shocks tend to leave the attack disrupted which makes him far more vulnerable to a counter-attack
While the level of variablilty prevents an exact science method (by design), a general rule of thumb is never shock attack if you are concerned about your own positions. For example if you've recently moved a large stack of units into a contested base hex vs. a fortified enemy and fear a counter-attack to try to push you off the hex (and create massive losses since a forced retreat is the most expensive of events for LCU's) A failed shock attack leaves the attacker at his most vulnerable to a counter-attack....esp a counter-shock attack. Joe and I experienced a nasty one at Clark Field once and I did similar to an opponent at Singapore sending the 25th Army's vanguard reeling back north after a failed shock. It basically wrecked his Malayan offensive.
Delib attacks are far safer and forgive mistakes. Often its better to be safe than sorry but there are also times when you have to roll the dice and go for shock if your in a time crunch.
RE: Shock Attack
ORIGINAL: herwin
ORIGINAL: witpqs
Use shock attacks very judiciously. They are very useful but can easily wreck your attacking force. Shock attacking when you have various factors against you - disruption, bad terrain (favorable to defense), etc. - is unwise unless you've got the odds with you even considering those things. Just as otherwise in combat, high quality units can get away with more when a shock attack goes bad, but they also can get hosed.
I used to think that, but after collecting statistics from about 100 battles, it was clear there was little or no downside.
The LCU combat engine can be taken advantage of in interesting ways. The real-world combat process that seems most similar to how it works appears to be WWI naval surface combat, so I evaluate my LCU stacks as little surface fleets in deciding whether to attack or not.
Due to the number of iterations required, I suspect that your statistics do not take account of (on each side independently): disruption, morale, experience, fatigue, leadership, heavy weapons, defensive terrain, and on and on. hence the need to develop a 'feel' for things that many posts mention.
Intel Monkey: https://sites.google.com/view/staffmonkeys/home
RE: Shock Attack
ORIGINAL: Nikademus
ORIGINAL: Zeta16
I have been playing WiTP and AE since it came out in like 2004, I still do not understand shock attack. I never use it, it only happens when I cross rivers and such. Come someone explain when I should use and why? Any help would be great.
shock attacks double your AV but also give the defender a free fire phase before this goes down. Against an opponent with heavy firepower (like a typical midwar US RCT for example), if your gamble fails you'll suffer horrendous losses. A failed shock in general will incur heavy casualties unless the defender condition is weak. Another factor to consider beyond "casualties" is the effect on disruption. Failed shocks tend to leave the attack disrupted which makes him far more vulnerable to a counter-attack
While the level of variablilty prevents an exact science method (by design), a general rule of thumb is never shock attack if you are concerned about your own positions. For example if you've recently moved a large stack of units into a contested base hex vs. a fortified enemy and fear a counter-attack to try to push you off the hex (and create massive losses since a forced retreat is the most expensive of events for LCU's) A failed shock attack leaves the attacker at his most vulnerable to a counter-attack....esp a counter-shock attack. Joe and I experienced a nasty one at Clark Field once and I did similar to an opponent at Singapore sending the 25th Army's vanguard reeling back north after a failed shock. It basically wrecked his Malayan offensive.
Delib attacks are far safer and forgive mistakes. Often its better to be safe than sorry but there are also times when you have to roll the dice and go for shock if your in a time crunch.
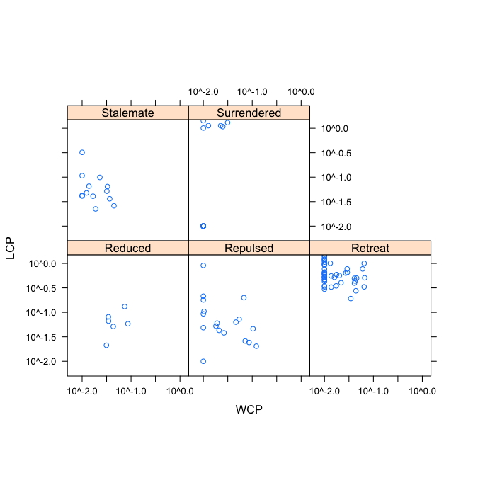
I agree with your points. The game engine ignores the target acquisition process, so that the firepower phase massively inflates a firepower superiority. A shock attack takes advantage of that to convert the outcome to a forced retreat. Attached is an image showing what the game engine does. The following message shows what actually happened in history. LCP is loser casualty percentage, while WCP is the winner's casualty percentage.

- Attachments
-
- byoutcomes.jpg (93.92 KiB) Viewed 254 times
Harry Erwin
"For a number to make sense in the game, someone has to calibrate it and program code. There are too many significant numbers that behave non-linearly to expect that. It's just a game. Enjoy it." herwin@btinternet.com
"For a number to make sense in the game, someone has to calibrate it and program code. There are too many significant numbers that behave non-linearly to expect that. It's just a game. Enjoy it." herwin@btinternet.com
RE: Shock Attack
Historical pattern:


- Attachments
-
- helmbold.jpg (410.07 KiB) Viewed 253 times
Harry Erwin
"For a number to make sense in the game, someone has to calibrate it and program code. There are too many significant numbers that behave non-linearly to expect that. It's just a game. Enjoy it." herwin@btinternet.com
"For a number to make sense in the game, someone has to calibrate it and program code. There are too many significant numbers that behave non-linearly to expect that. It's just a game. Enjoy it." herwin@btinternet.com
RE: Shock Attack
ORIGINAL: witpqs
ORIGINAL: herwin
ORIGINAL: witpqs
Use shock attacks very judiciously. They are very useful but can easily wreck your attacking force. Shock attacking when you have various factors against you - disruption, bad terrain (favorable to defense), etc. - is unwise unless you've got the odds with you even considering those things. Just as otherwise in combat, high quality units can get away with more when a shock attack goes bad, but they also can get hosed.
I used to think that, but after collecting statistics from about 100 battles, it was clear there was little or no downside.
The LCU combat engine can be taken advantage of in interesting ways. The real-world combat process that seems most similar to how it works appears to be WWI naval surface combat, so I evaluate my LCU stacks as little surface fleets in deciding whether to attack or not.
Due to the number of iterations required, I suspect that your statistics do not take account of (on each side independently): disruption, morale, experience, fatigue, leadership, heavy weapons, defensive terrain, and on and on. hence the need to develop a 'feel' for things that many posts mention.
A couple hundred samples is enough to give a good insight into what's going on.
Harry Erwin
"For a number to make sense in the game, someone has to calibrate it and program code. There are too many significant numbers that behave non-linearly to expect that. It's just a game. Enjoy it." herwin@btinternet.com
"For a number to make sense in the game, someone has to calibrate it and program code. There are too many significant numbers that behave non-linearly to expect that. It's just a game. Enjoy it." herwin@btinternet.com
RE: Shock Attack
Interesting Harry, but what's the correlation coefficient for those data? It appears that it must be around .60 or so. That's not a terribly strong relationship.
Occasionally, and randomly, problems and solutions collide. The probability of these collisions is inversely related to the number of committees working on the solutions. -- Me.
RE: Shock Attack
ORIGINAL: herwin
ORIGINAL: witpqs
ORIGINAL: herwin
I used to think that, but after collecting statistics from about 100 battles, it was clear there was little or no downside.
The LCU combat engine can be taken advantage of in interesting ways. The real-world combat process that seems most similar to how it works appears to be WWI naval surface combat, so I evaluate my LCU stacks as little surface fleets in deciding whether to attack or not.
Due to the number of iterations required, I suspect that your statistics do not take account of (on each side independently): disruption, morale, experience, fatigue, leadership, heavy weapons, defensive terrain, and on and on. hence the need to develop a 'feel' for things that many posts mention.
A couple hundred samples is enough to give a good insight into what's going on.
Not if you didn't vary those things - doing a million iterations would not give you data about what you didn't test. Did you vary them?
Intel Monkey: https://sites.google.com/view/staffmonkeys/home
RE: Shock Attack
ORIGINAL: bjmorgan
Interesting Harry, but what's the correlation coefficient for those data? It appears that it must be around .60 or so. That's not a terribly strong relationship.
It's only a weak linear relationship. That's a plot of a large number of WWII battles, mapping winner casualty fraction to loser casualty fraction at battle termination. The interesting pattern is that the loser almost always has a higher casualty fraction. Note the scales.
Harry Erwin
"For a number to make sense in the game, someone has to calibrate it and program code. There are too many significant numbers that behave non-linearly to expect that. It's just a game. Enjoy it." herwin@btinternet.com
"For a number to make sense in the game, someone has to calibrate it and program code. There are too many significant numbers that behave non-linearly to expect that. It's just a game. Enjoy it." herwin@btinternet.com
RE: Shock Attack
ORIGINAL: witpqs
ORIGINAL: herwin
ORIGINAL: witpqs
Due to the number of iterations required, I suspect that your statistics do not take account of (on each side independently): disruption, morale, experience, fatigue, leadership, heavy weapons, defensive terrain, and on and on. hence the need to develop a 'feel' for things that many posts mention.
A couple hundred samples is enough to give a good insight into what's going on.
Not if you didn't vary those things - doing a million iterations would not give you data about what you didn't test. Did you vary them?
No, those are recorded as they occurred, just like the data in the other chart.
Harry Erwin
"For a number to make sense in the game, someone has to calibrate it and program code. There are too many significant numbers that behave non-linearly to expect that. It's just a game. Enjoy it." herwin@btinternet.com
"For a number to make sense in the game, someone has to calibrate it and program code. There are too many significant numbers that behave non-linearly to expect that. It's just a game. Enjoy it." herwin@btinternet.com
RE: Shock Attack
ORIGINAL: herwin
No, those are recorded as they occurred, just like the data in the other chart.
In the absence of knowing, I would then presume that you had some variation, although not necessarily much. Anyhow, just be careful with the shock attacks or in some situations they will be very painful.
Intel Monkey: https://sites.google.com/view/staffmonkeys/home





